T&L-Room

令和7年度最低賃金が施行されます

2025年10月07日 13:48

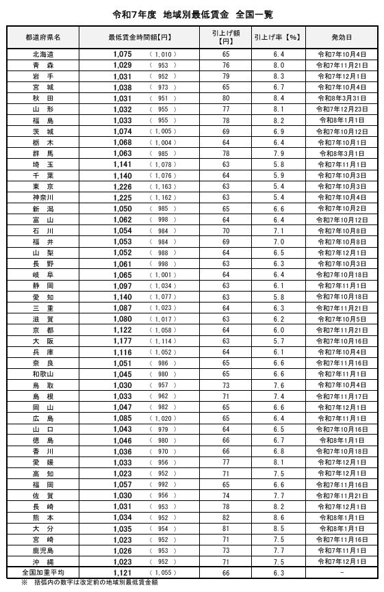
最低賃金が各地で施行されています。


都道府県ごとに発効日が違うので注意が必要です。


「気付いたら、違反していた・・・」という事のないように早めのご確認を。